Buenas tardes,
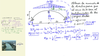
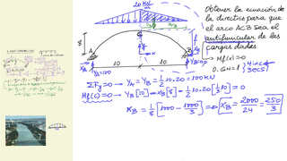
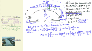
Para definir el antifunicular de un estado de cargas, en el ejemplo se parte de que la flecha del arco es 8. ¿Podría , para ese mismo estado de cargas del ejemplo, encontrar el antifunicar para una flecha cualquiera, por ejemplo 6 o 9?
Para definir el antifunicular de un estado de cargas, en el ejemplo se parte de que la flecha del arco es 8. ¿Podría , para ese mismo estado de cargas del ejemplo, encontrar el antifunicar para una flecha cualquiera, por ejemplo 6 o 9?
